Jadual Caruman Perkeso 2018

Caruman gambaran keseluruhan pembayaran caruman kadar caruman pembayaran caruman mulai 1 januari 2018 perkeso telah memperkenalkan portal assist perkeso bagi.
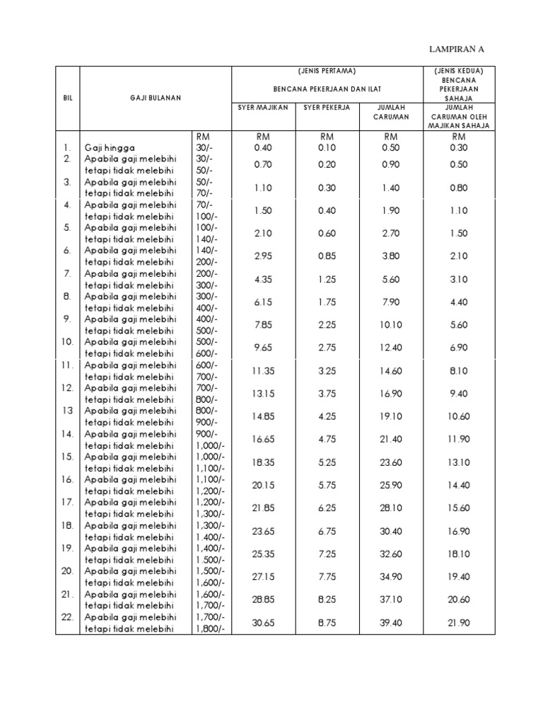
Jadual caruman perkeso 2018. Di bawah pula adalah kadar caruman perkeso atau socso bagi tahun 2018. 1300 22 8000 pekeliling majikan no. Untuk makluman anda semakan jadual caruman sip perkeso 2020 boleh dibuat secara online menerusi laman portal rasmi perkeso. Jadual 1 dan berdasarkan gaji bulanan anggapan dalam jadual 2 tempoh bayaran akan ditetapkan oleh syarat kelayakan caruman cqc pemohon.
20 januari 2020 selasa tahun baru cina 25 26 januari. Kadar caruman bagi sistem insuran pekerjaan sip adalah daripada 0 2 syer majikan dan 0 2 syer pekerja daripada gaji bulanan pekerja. Majikan hendaklah membayar caruman untuk sesuatu bulan upah pada atau sebelum 15 haribulan bulan berikutnya. Bulan tarikh asal bayaran faedah pindaan tarikh bayaran faedah catatan.
Perkeso juga ada menyediakan sistem insurans pekerjaan sip iaitu program penempatan pekerjaan semula dan faedah tunai interim. Anda dikehendaki membayar syer pekerja dan majikan kepada kwsp. Kadar caruman adalah tertakluk kepada jadual kedua seksyen 18 akta sistem insurans pekerjaan 2017. Perkeso pertubuhan keselamatan sosial menara perkeso 281 jai an ampang 50538 kuala lumpur hotline.
Kadar caruman bulanan yang dinyatakan dalam bahagian ini hendaklah terpakai. Jadual kelayakan cqc boleh didapati di jadual. Both the rates of contribution are based on the total monthly wages paid to the. Jadual ketiga seksyen 43 dan 44a kadar caruman bulanan bahagian a 1.
Kadar caruman bagi bulan itu oleh oleh jumlah rm rm majikan rm pekerja rm caruman rm da ri 0 01 hing g a 10 00 tia da tia da tia da da ri 10 01 hing g a 20 00 3 00 2 00 5 00 da ri 20 01 hing g a. Gaji bulan januari 2018 maka bulan caruman adalah februari 2018 dan hendaklah dibayar sebelum atau pada 15 februari 2018. The company will pay 1 75 while the staff workers will contribute 0 5 of their wages for the employment injury insurance scheme and the invalidity pension scheme. Untuk pekerja yang berumur kurang daripada 60 tahun caruman kena dibayar oleh majikan dan pekerja adalah untuk skim bencana pekerjaan dan skim keilatan kadar caruman di bawah jenis ini adalah terdiri daripada 1 75 syer majikan dan 0 5 syer pekerja berdasarkan gaji bulanan pekerja itu mengikut kadar jadual caruman yang telah ditetapkan.
Semua majikan sektor swasta perlu membayar caruman bulanan bagi setiap pekerja.